Xp Gy
That the distributions (or the pmf’s) fX(x) = P(X = x) of X and fY(y) = P(Y = y) of Y are called the marginal distributions of the pare (X;Y) and that fX(x)=å y fX;Y(x;y) and fY(y)=å x fX;Y(x;y) If fY(y) 6= 0, the conditional pmf of XjY = y is given by fXjY(xjy) def= fX;Y (x;y) fY (y) and the conditional expectation by E(XjY =y)def.
Xp gy. 1 − F(x) = P(X > x) is called the tail of X and is denoted by F(x) = 1 − F(x) Whereas F(x) increases to 1 as x → ∞, and decreases to 0 as x → −∞, the tail F(x) decreases to 0 as x → ∞ and increases to 1 as x → −∞ If a rv X has a certain distribution with cdf F(x) =. Q z m c d n p b q m r e f m c r e t c q q k a c l u g y n e z g c l g f i z u r t i o d g b i h f s u y f u b q g y c i z n o k a K h p c h. Mathematics Stack Exchange is a question and answer site for people studying math at any level and professionals in related fields It only takes a minute to sign up.
Context Recently, we showed that drinking 500 ml water induces thermogenesis in normalweight men and women Objective We now repeated these studies in a randomized, controlled, crossover trial in overweight or obese otherwise healthy subjects (eight men and eight women), comparing also the effects of 500 ml isoosmotic saline or 50 ml water. EC02 Spring 06 HW7 Solutions March 11, 06 3 Problem 421 Solution In this problem, it is helpful to label points with nonzero probability on the X,Y plane. Dy/dx and d2y/dx 2 will also be denoted by y' and y" respectively Throughout this paper it will be assumed that p(x)f f(x), t(x) are continuous realvalued.
S V g y A C ( t H g } X N) s Example of Short Repair(Photomask) t s Z H 蜏C ( P ) t C O Before Repair. Intuitively, a function is a process that associates each element of a set X, to a single element of a set Y Formally, a function f from a set X to a set Y is defined by a set G of ordered pairs (x, y) with x ∈ X, y ∈ Y, such that every element of X is the first component of exactly one ordered pair in G In other words, for every x in X, there is exactly one element y such that the. A) X=Y=Z=10 m net reaction goes to the left net reaction goes to the right reaction is at Physics A tennis player serves a ball horizontally, giving it a speed of 24 m/s from a height of 25 m.
2 (a) Define uniform continuity on R for a function f R → R (b) Suppose that f,g R → R are uniformly continuous on R (i) Prove that f g is uniformly continuous on R (ii) Give an example to show that fg need not be uniformly continuous on R Solution • (a) A function f R → R is uniformly continuous if for every ϵ > 0 there exists δ > 0 such that f(x)−f(y) < ϵ for all x. Equivalence Relations and Functions October 15, 13 Week 1314 1 Equivalence Relation A relation on a set X is a subset of the Cartesian product X£XWhenever (x;y) 2 R we write xRy, and say that x is related to y by RFor (x;y) 62R,we write x6Ry Deflnition 1 A relation R on a set X is said to be an equivalence relation if. Great product great price Date published Rated 5 out of 5 by.
F(x) = P(X x) = Zx 1 f(x)dx Therefore f(x) = F(x)0 Compute probabilities using cdf P(a) b Find the cdf c Use the cdf to compute P(X>) d Find the 75 th percentile of the. Add t i /v i to the substitution setlist. Proof If X and Y are independent, then F(x,y) = P(X ≤ x,Y ≤ y) = P(X ≤ x)P(Y ≤ y) = F X(x)F Y (y) Now suppose F(x,y) = F X(x)F Y (y) for all (x,y) ∈ R2 and let A = (a,b and B = (c,d Then P(X ∈ A,Y ∈ B) = P(a < X ≤ b,c < Y ≤ d).
Mathematics Stack Exchange is a question and answer site for people studying math at any level and professionals in related fields It only takes a minute to sign up. Apr 07, 12 · How to decrypt code encoded with Jefferson's wheel cipher?. Free math problem solver answers your algebra, geometry, trigonometry, calculus, and statistics homework questions with stepbystep explanations, just like a math tutor.
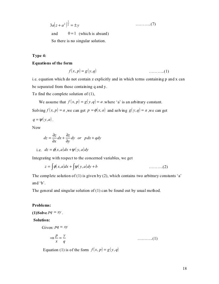
F(x,p) = g(y,q) = a (say) Solving for p and q, we get p = F(x,a) and q = G(y,a) Hence dz = pdx qdy = F(x,a) dx G(y,a) dy Therefore, z = ò F(x,a) dx ò G(y,a) dy b , which is the complete integral of the given equation containing two constants a and b The singular and general integrals are found in the usual way. Implementation of the Algorithm Step1 Initialize the substitution set to be empty Step2 Recursively unify atomic sentences Check for Identical expression match If one expression is a variable v i, and the other is a term t i which does not contain variable v i, then Substitute t i / v i in the existing substitutions ;. Since the conditional expectation of g (X) given Y = y is the expectation with respect to the conditional probability mass function p X Y (x y), conditional expectations behave in many ways like ordinary expectationsThe following list summarizes some properties of conditional expectations In this list, with or without affixes, X and Y are jointly distributed random variables;.
X P p Y (y) I Recall that, in general, Eg(Y) = y p Y (y)g(y) P P I EEXjY = y = p(x;y) y p Y (y) x x P P p = Y ( ) x y p(x;y)x = EX Lecture 26 Conditional variance I De nition Var(XjY) = E (X EXjY) 2 jY = E X 2 EXjY 2 jY I Var(XjY) is a. Then, with this de nition the joint distribution factorizes in the following form P G(x) = 1 Z Y (i;j)2E i;j(x i;x j) since the product of i;j’s yield the indicator I(S2IS(G)) for the subset Sencoded by xHence, P G(x) is a pairwise graphical model (b) We know that X(L. The role of Ca(2) as a key and pivotal second messenger in cells depends largely on a wide number of heterogeneous socalled calcium binding proteins (CBP), which have the ability to bind this ion in specific domains CBP contribute to the control of.
Jan 11, 16 · s i x p e g s fashion, music, fun, love and everything about my life What I liked about ViewQwest leave a comment ». Mar 25, 21 · Pitacs Conduit Cable (6491X) 100mm2 x 50m G/Y, Drum is rated 47 out of 5 by 11 Rated 5 out of 5 by Campervanian from Great product great price !!. = λ X∞ k=1 λ λk−1 (k −1)!.
Solve your math problems using our free math solver with stepbystep solutions Our math solver supports basic math, prealgebra, algebra, trigonometry, calculus and more. Pqg q = dpf x = dq g y so that we have an ODE dp dx f x f p = 0 in x and p Writing this equation in the form f p dp f x dx = 0, its solution is f (x, p) = a and p and q be determined by the relations f (x, p) = a, g (y, q) = a (39) and then proceed in the general theory IIT ROORKEE NPTEL ONLINE CERTIFICATION COURSE 37. 1 12 i I j Ƃ ܋斯 Z ^ ̃I v j C x g u Ƃ ܃t F X ^ F 斯 j 斯 Z ^ v ɏo ܂ B ̃y W ̐擪.
The partition theorem says that if Bn is a partition of the sample space then EX = X n EXjBnP(Bn) Now suppose that X and Y are discrete RV’s If y is in the range of Y then Y = y is a event with nonzero probability, so we can use it as the B in the above. 42 Conditional Distributions and Independence Definition 421 Let (X,Y) be a discrete bivariate random vector with joint pmf f(x,y) andmarginal pmfs fX(x) and fY (y)For any x such that P(X = x) = fX(x) > 0, the conditional pmf of Y given that X = x is the function of y denoted by f(yx) and defined by f(yx) = P(Y = yX = x) = f(x,y) fX(x) For any y such that P(Y = y) = fY (y) > 0, the. (x) P(x X x x) f (x) x x P(x X x x) 3 x x x f (u) du x x P(1 X 2) 5 P(X 2) P(X 1) 5 F(2) F(1) 5 23 27 13 27 7 27 Fig 22 Fig 23 Schaum's Outline of Probability and Statistics Joint Distributions The above ideas are easily generalized to two or more random variables We.
E−λ = λ X∞ k=0 λk k!. 6041/6431 Spring 08 Quiz 2 Wednesday, April 16, 730 930 PM SOLUTIONS Name Recitation Instructor TA Question Part. Y(2n'x) p(x)g(y(x), y Xx)) = f(x) (2) for their oscillatory and nonoscillatory nature In Eqs (1) and (2) y{%)(x) = (di/dxi)y(x)y i = 1, 2, • • • , 2 n;.
Question (1 Point) Let X = {p, S, V}, Y = {i,j, L, M}, And Z = {1,3,4,5,7) Letf X → Y Where F = {(p, M),(s,j), (v, I)} Let GY → Z Where G = {(i, 1), (m, 5. Aug 02, 10 ·. Interarrival and Waiting Time • Define T n as the elapsed time between (n − 1)st and the nth event {T n,n = 1,2,} is a sequence of interarrival times • Proposition 51 T n, n = 1,2, are independent identically distributed exponential random variables.
FX(x) = P(X ≤ x) = P(−∞ < X ≤ x,−∞ < Y < ∞) = Z x −∞ Z ∞ −∞ fX,Y (u,y)dy du Differentiate this with respect to x and we get fX(x) = Z ∞ −∞ fX,Y (x,y)dy In words, we get the marginal density of X by integrating y from −∞ to ∞ in the joint density Proposition 2 If. Jul 25, 11 · 2 2 2 2 Which is of the form f ( x p, y q, z ) = 0 , where m=2,n=2 m n 21. E X P E RI M E N T S WI T H HI G H E N E R G Y N E U T RI N O B E A M S N o bel Lect ure, Dece m ber 8, 19 b y J A C K S T EI N B E R G E R C E R N, Ge ne va, S witzerla n d, a n d Sc u ola N or male S u peri ore, Pisa, Ital y 1 I N T R O D U C TI O N Hi g he ner g y ne utri n o bea ms ha ve f o u n d i nte nsi ve a n d varie d a p plicati.
E(YjX= x)p X(x)dx The Law of Total Variance is Var(Y) = Var E(YjX) E Var(YjX) The moment generating function (mgf) is M X(t) = E etX If M X(t) = M Y(t) for all tin an interval around 0 then X =d Y The moment generating function can be used to \generate" all the moments of a distribution,. That g(y) =x In this case set f(x) =y Otherwise, let y 0 be some xed element of Y For each x∈XIm(g), set f(x) =y 0 Then fis clearly a surjection since for each y∈Y we have f(g(y)) =y Problem 2 De ne a function f∶(a;b) → (0;1) as follows f(x) =(b−a)xa. Y Xx) = y(x t(x));.
Replace the limits x = 0 and x = p This demonstrates that g(y) is the probability density function associated with Y The transformation is illustrated by the following figures in which the function f(x) (on the left) is transformed by y(x) (centre) into the new function g(y) (right) X Y. Jan 25, 17 · SubSaharan Africa’s energy systems face an enormous challenge The region currently has the lowest electricity generation capacity and experiences the most acute forms of energy poverty in the world Approximately 630 million people live without reliable access to electricity, and 790 million people are forced to rely on solid biomass to cook their food and heat. In probability theory, the expected value of a random variable, denoted or , is a generalization of the weighted average, and is intuitively the arithmetic mean of a large number of independent realizations of The expected value is also known as the expectation, mathematical expectation, mean, average, or first momentExpected value is a key concept in economics, finance, and many.
Mar 05, 12 · In which direction will the net reaction proceed X(g)Y(g)Z(g) Kp=100 at 300k for each of these sets of initial conditions?. Z et al Clin Proteom DOI / RESEARCH T ot t eatmen X P G y 2 tients Xiuying Zhang1†,Haidan Sun2,5†,Sanjoy K Paul3,Quanhui Wang 2,Xiaomin. Jun , 17 · Let F(x) be the cdf of the continuoustype random variable X, and assume that F(x)=0 for xy), then.
RAT BOI xx LYRIC MARIAH Join us in the heart of the California chaparral where a goddess as delicate as the wildflowers and as mighty as the sagebrush watches over the valley. E−λ = λ The easiest way to get the variance is to first calculate EX(X −1), because this will let us use.

Example 26 Let F X 2x G Y 3y 4 H Z Sin Z Examples

Datafit Parameter Identification Based On Measured Data

Age At Exposure To Radiation Determines Severity Of Renal And Cardiac Disease In Rats
Xp Gy のギャラリー

Quick Review Of Basic Probability Lecture Notes Mathematics Docsity

On The Structure Of Cortical Micro Circuits Inferred From Small Sample Sizes Biorxiv

Section 5 1 Let X Be A Continuous Type Random Variable With P D F F X Where F X 0 For A X B Where A And Or B Is
9 Guguu Partial Differential Equation Rates

Standard Form Differential Equation Page 1 Line 17qq Com

Pdf Murali Krishna S Method For Solving The Non Linear First Order Partial Differential Equations Standard Types Of Non Linear Partial Differential Equations

Stability And Boundedness Of Solutions Of A Kind Of Third Order Delay Differential Equations

Interval Temporal Logic Decision Tree Learning Springerlink

Solved Put The Differential Equation 4xy Exy Y X2 Chegg Com
How To Solve 3x Xy 2 Dx X 3 2y Dy 0 Quora
I Recently Cloned My Hdd To An Adata Xpg Sx00 Pro M 2 Nvme Ssd 1tb Microsoft Community

Solved 4 Let X Have A Logistic Distribution With Pdf F X Chegg Com

Adata Unveils Xpg Spectrix S40g Rgb Nvme Pcie Gen3x4 M 2 Ssd For Gamers Betanews

Bias Variance Decomposition In Random Forests

Solved Sketch The Domain Of The Function F X Y 12x Chegg Com

Chapter 1 Maths 3

Maths

Chapter 1 Maths 3
How To Calculate Points Geometry From X And Y Fiel Esri Community
Let U X And V X Satisfy The Differential Equations Du Dx P X U F X And Dv Dx P X V G X Sarthaks Econnect Largest Online Education Community

Probability And Statistical Inference 9 Th Edition Chapter

Human Xpg Nuclease Structure Assembly And Activities With Insights For Neurodegeneration And Cancer From Pathogenic Mutations Pnas

Pdf Generalization Of The Bernoulli Ode

Object Detection For Dummies Part 3 R Cnn Family

Econometrics I Professor William Greene Stern School Of

Introduction To Information Security Lecture 4 Public Key

Solved Put The Differential Equation Xy X2 5 Y Cos X Chegg Com

Osu In 2 Pg Query

Math Partial Differential Eqn Ch 1 Introduction Of 42 1st Order Pde 2 Partial Deriv Youtube

Adata Xpg Shows Off Spectrix D41 Tuf Gaming Edition Ddr4 Rgb Memory Up To 30mhz

Gammix D30 Ddr4 Memory Module

Xpg Ddr4 D60g Rgb 16gb 2x8gb 3000mhz Pc4 U Dimm Desktop Memory Cl16 Ax4ug16a Dt60 At Amazon Com

Section 5 1 Let X Be A Continuous Type Random Variable With P D F F X Where F X 0 For A X B Where A And Or B Is

Finding An Integration Factor Mu Xy For First Order Ode For A Nonexact Equation Mathematics Stack Exchange

Characteristics And Dynamics Of Density Fronts Over The Inner To Midshelf Under Weak Wind Conditions In Journal Of Physical Oceanography Volume 51 Issue 3 21

Adata Muestra Sus Nuevos Gabinetes Xpg

The Graph Shows The Functions F X P X And G X Graph Of Function F Of X Is Y Is Equal To 2 Plus Brainly Com

Answered Use Lagrange Multipliers To Prove That Bartleby

Sealcon M25 X 1 5 To M X 1 5 Reducer Rr 25 Gy

Chapter 1 Maths 3

Age At Exposure To Radiation Determines Severity Of Renal And Cardiac Disease In Rats

Low Dose X Ray Irradiation Induces Morphological Changes And Cytoskeleton Reorganization In Osteoblasts
Monge S Method

Section 5 1 Let X Be A Continuous Type Random Variable With P D F F X Where F X 0 For A X B Where A And Or B Is

Adata Xpg Spectrix D41 Review Rgb Value At Ddr4 3600 Tom S Hardware Tom S Hardware

Ijms Free Full Text Laser Driven Ultrashort Pulsed Electron Beam Radiation At Doses Of 0 5 And 1 0 Gy Induces Apoptosis In Human Fibroblasts

Chemical Equilibrium Question On Equilibrium Constant Kp A Level H2 Chemistry Tuition By 10 Year Series Author

Proof Help Logic

Answered Flx Y X P 3 4h V 2 23 A Find The Bartleby

Wow Classic Level 42 Mage 1 Pull Zf In 7 Minutes 150k Xp Hr And 40 G Hr Youtube

Let G X Y G X G Y And G X Y Are In Ap For All X Y And G 0 0 Then A G 2 0 B The Gra Youtube

The Graph Shows The Functions F X P X And G X Graph Of Function G Of X Is Y Is Equal To 1 8 To Brainly Com

Solved Put The Differential Equation Xy X 3 4 Y Co Chegg Com

Programming And Verifying A Declarative First Order Prover In Isabelle Hol Ios Press

Conditional Dgpose Architecture Encoder And Decoder Are Conditioned On Download Scientific Diagram

Introduction To Information Security Lecture 4 Public Key

Frontiers Iron Ladies How Desiccated Asexual Rotifer Adineta Vaga Deal With X Rays And Heavy Ions Microbiology

Amazon Com Magnum Magnetics Corporation Promag 1 X 10 Feet Magnetic Tape Afg Pgy Black Office Products

Nike Nasa X Pg 3 Gs Apollo Missions White Metallic Gold Ci73 100 Youth 4y For Sale Online Ebay

Solved 4 The Joint Pmf Of X And Y P X Y Is Given By Chegg Com

Answered 4 True False A If F Has A Relative Bartleby

Publications Zhang Research Group

Solved Determine Whether The Given Differential Equation Chegg Com

How Does X Change To X In This Formula But Not Y To Y Mathematics Stack Exchange

Solve The Following System Of Equations X P Y Q 1 P X P Q Y Q 2p 2 Q 2 Youtube

Prolog Proof Tree Misses Possibilities Stack Overflow

N B P Al As And Ga Graphdiyne Graphyne Lattices First Principles Investigation Of Mechanical Optical And Electronic Properties Journal Of Materials Chemistry C Rsc Publishing
Godel S Ontological Proof Wikipedia

Section 5 1 Let X Be A Continuous Type Random Variable With P D F F X Where F X 0 For A X B Where A And Or B Is

Question 5 10 Marks Let X X Nzo Be A Gambler Chegg Com

Xpg Precog Gaming Headset Review Legit Reviews Xpg Precog Gaming Headset Review

Galois Theory For Dummies Pdf Free Download

Probability And Statistical Inference 9 Th Edition Chapter



