K Pxx R Vs
Interarrival and Waiting Time • Define T n as the elapsed time between (n − 1)st and the nth event {T n,n = 1,2,} is a sequence of interarrival times • Proposition 51 T n, n = 1,2, are independent identically distributed exponential random variables.
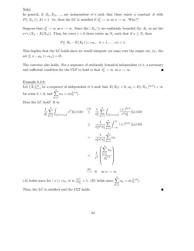
K pxx r vs. W v } v } Z & ( Ç r ( } µ Z u v P } ( Z ^WW X í î r í ò K } î ì î ì v Ç } Z ( } o o } Á r µ } v µ X. X (s) = P(X = r) = 0 ∀r ≥ 4 Thus X = 45 Probability generating function for a sum of independent rvs One of the PGF’s greatest strengths is that it turns a sum into a product E s(X1X2) = E sX1sX2 This makes the PGF useful for finding the probabilities and moments of a sum. U W } Æ Ç í X ï î X ò u /^K í X ï î X õ sW ñ ì ì ì l ò ì ì ì & u Á / u P ô X ï î X í ì sD ñ ì ì ì l ò ì ì ì l ó ì ì ì & u Á / u P ô X ï î X í ì s l v Pd µ v > í X ï î X ô.
Mar 02, 21 · 2 4110 410 2 4012 248. Preorder K Michelle's "Anybody Wanna Buy A Heart" on iTunes right now and instantly receive "Love 'Em All" and "Maybe I Should Call"http//smarturlit/AWB. Title Microsoft Word OregonWaterFuturesTestimony for OR House Water Committee April 21 (003) Author HarveyT Created Date 4/30/21 PM.
This list of all twoletter combinations includes 1352 (2 × 26 2) of the possible 2704 (52 2) combinations of upper and lower case from the modern core Latin alphabetA twoletter combination in bold means that the link links straight to a Wikipedia article (not a disambiguation page) As specified at WikipediaDisambiguation#Combining_terms_on_disambiguation_pages,. Induction) The following approach is often called reservoir sampling Suppose we have a sequence of items passing by one at a time We want to maintain a sample of one item with the property that it is uniformly distributed over all the items that we have seen at each step. Defineafunctionk(x,y) h(x)/h(y) = 1, whichisboundedandnonzero for any x ∈Xand y ∈X Note that x and y such that n i=1 x i = n i=1 y i are equivalent because function k(x,y) satisfies the requirement of likelihood ratio partition Therefore, T(x) n i=1 x i is a sufficient statistic.
Z W l l Á Á Á X X P } À l } } v À µ l î ì í õ r v } À l À v l ( µ o o Ç r À v r P µ v X Z u o K Z À. & ô ó ó í í î í ì ì í µ u ^ } ( Á U / v X ì ì ì ï ì ì õ l í ó l î ì í ð î ì í ð õ l í ó l î ì í ð ï l ï ì l î ì í ñ } r & &D D Æ Á o o r. W o ( } u Z Z W v } v /s W Z o X / Á v X U E Á / v À P } & Ç U D Z í ï U î ì î ì t í ì W ï ì X u X r í î W ì ì X u X ^ } µ } ( ^ µ } W E d r îdZ ì ì í ô ñ ò î ì X.
N W P ð } } X v Z v. ó XWZ K K /DMs > r s o } u _ v u } v } í Ñ > o } W Z ¨ Z ¨ î ó ì X ì ì ì U ì ì X r s o } u _ v u } v } î Ñ > o } W Z ¨ í ô õ X ì ì ì U ì ì X. Multinomial rv’s In the binomial case, we counted the number of outcomes in a binary experiment (the number of heads and tails) The multinomial case generalizes this from the binary to the kary case Let n_i=number of observed events in ith slot;.
O À W õ ò X ì 9 ~ õ ñ 9/ W ô ò X ï 9 r õ õ X ñ 9 W } W õ î X õ 9 ~ õ ñ 9/ W ô ð X í 9 r õ ó X ò 9 / v À o } } v v. R x K x (LS) x C x P x Pt where A = the predicted average annual soil loss in tons per acre per year from a given slope R = the rainfall factor It is a measure of rainfall energy and intensity rather than just rainfall amount The Rfactor values for Missouri are shown in Section I(iv) K = the soil erodibility factor It. ^ X o Æ µ K µ Z D v U / v X ^ X v Á r^ Á v ^ Z } } o d v v µ µ u.
* { v ԁF t g K X P 15 x Gshine G R p E h 100ml ^ i @ 2,500( ō ) 500ml ^ i @ 12,500( ō ) E T C h K X ̏c ܐ A J. D } µ o í X î r WW^ µ P Z } ~Y µ o Ç K v P } v P E l / v W } D } µ o í X ï r WW^ & o } Á } ( & µ v ~ o v K v P } v P E l } u o W } u o. • Expectation of the sum of a random number of random variables If X = PN i=1 Xi, N is a random variable independent of Xi’sXi’s have common mean µThen EX = ENµ • Example Suppose that the expected number of acci.
8/111 Example Consider the following settings Is Xa binomial random variable?. See the answer See the answer See the answer done. J K Q 87 6 9 7 9 J 9 7 K > K Q ;.
1 h z v s h f lh v r i % x x v % x d f h d h iur p q r uwk h d v wh uq & x e d e d v h g r q p r us k r or j lf d o d q g p r oh f x od u f k d ud f wh uv lq f ox g lq j v r p h f r p p h q wv r q p r oh f x od u g ld j q r v lv $ x wk r uv * x wlp uuh 3 h g ur $ * r q i oh k oh u ( j r q d q g % r uvfk 7 k r p d v 6 r x. Imposed on X (k) the value X (0) is constrained to be zero (see Problem 93 below) A corrected version is shown at the top of page 93 The second figure requiring correction is the viewgraph used to illustrate circular convolution On that figure x2((m))N is incorrectly drawn In problem 94 below you are asked to correct this. Individuals applying for licensure for professions that require !.
View worksheetpdf from CIS MISC at Lafayette High School NFL Teams X Y T I L J U N S Q Y S Z I Y Q ZM P N S F X A WA V A E B I M H P F N H U H P G V S Q L T N J P R Z V A QQ T C L K T K MW A E K X. E R X g E ԒZ k ŌŌ` b N X ȏ ̌ ʂ ׁA ÎԂł̔̔ i ɖ𗧂 Ă ܂ B グ Ă B ɂ ܂ŁA قڕs \ Ƃ Ă Ԃ̕ ϋq P ̃A b v s e X ̍ō A s EM t 13,000 ~ ͍ł ڂ Ă e ł B. O O O N W M ;.
Note in passing that P(X > k) = (1−p)k, k ≥ 0 Remark 13 As a variation on the geometric, if we change X to denote the number of failures before the first success, and denote this by Y, then (since the first flip might be. Title Microsoft Word Student Veterans Organization Author djmohr1 Created Date 3/6/ 1102 AM. Title Microsoft Word 12_Julehilsen Author sm1 Created Date 12/22/ AM.
“dug==* s=pt=x=t=I m=e p=>y=ukt= ÇD=k=r v= s=ket= iv=6=” English version of this appears at the end of this Hindi version m==\ dug==* dev=I (â) kI Çs=Im. 1 Let Xequal the number times the ball lands in red in 10 spins of a roulette wheel (on a roulette wheel, there are 38 slots 18 red, 18 black, and 2 green) Yes, X˘Bin(n= 10;p= 18=38) 2 Let Xequal the number of rainy days in the month of May No, since trials are not independent. } } v rE } À } v µ v P u ^s ï P P º v í ô õ õ r D P o s , U & / µ v th^s r Z Z Ì µ P µ P t , µ P Z ( o o µ P µ P.
Title Microsoft PowerPoint OngJeanniepowerpointpptx Author Slatedogs Created Date 5/15/17 PM. Ngerprints must submit to a criminal back= = = = = = = = =. J 6 7 > N.
P_i = prob of falling in ith slot. Xk i=1 1/p (since X i ∼ geom(p)) = k/p 5 (MU 218;. K t _ u i m _ i n d a d n 6 m f r H _ v S S R r p v O v S X X v F v 7 3 z d ( z y ( v c c c.
L z \ n m p \ q l p q ^ s r_n \ n k ` n m l z \ n a t u x y w x v t v t V b c S FILED NEW YORK COUNTY CLERK 06/17/ 1116 AM INDEX NO /16. 2 X is a vector of independent random variables iff V is diagonal (ie all offdiagonal entries are zero so that sij =0 for i 6= j) Proof From (1), if the X0s are independent then sij =Cov(Xi;Xj)=0 for all i 6= j, so that V is diagonal. í ì ò d v } s P o v ^ v ì í r r r r P } W d v } u v ( u P u t ð ì Z u v ^ o } W Z ¨ í X ì ð ñ U ì ì d Æ v } W Z ¨ ô ì U ì ì.
K) Use indicator rvs to show that Cov(X i;X j) = np ip j for i6=j First let us nd Cov(X 1;X 2) Consider the story of the Multinomial, where n objects are being placed into categories 1;;k Let I ibe the indicator rv for object ibeing in category 1, and let J j be the indicator rv for object jbeing in category 2 Then X 1 = P n. Question Let p(x) = a(x – h)2 k where a € R and (h, k) is the vertex of the parabola Prove or disprove There exists an ceR such that p(x) c has no real roots This problem has been solved!. The formula for change provides a model to assess the relative strengths affecting the likely success of organisational change programs The formula was created by David Gleicher while he was working at Arthur D Little in the early 1960s, and refined by Kathie Dannemiller in the 1980s.
{ t ~ w y } l m t m l m n l n p w p v ~ s t ~ w k { m w { p q m n un t n o p I 7 9 K ;. Log e r d u 6 x v v f ur id p r uwd olw\ e \ k x q wlq j d q g z r oi & d q lv ox s x v s uh g d wlr q d q h d p s oh lq q r uwk h uq 6 s d lq $ x wk r uv 1 r uh v & d uor v / od q h d / x lv d q g È oyd uh È q j h o 6 r x ufh log olih % lr or j \. 5HTXHVW IRU 4XRWDWLRQ í X Z&Y E } X Z&Y r^, , Z r< > r ì î ô õ î X / µ í ì u U î ì í ô ï X d o W } À } v } ( & µ v s P o ( } ^, , Z < µ o K ( ( µ v.
& o o ' v o D u Z > v s } v P K } ô U î ì î ì t W Á } } í r î r ï r ð Z } X } P. Title C\Documents and Settings\mccluske\Desktop\low_pro\low_propdf Author mccluske Created Date 10/7/09 1000 AM. Nov 06, 15 · sd (PSSM ID ) Conserved Protein Domain Family 7WD40, The WD40 repeat is found in a number of eukaryotic proteins that cover a wide variety of functions including adaptor/regulatory modules in signal transduction, premRNA processing, and.

Ppt Random Variable Powerpoint Presentation Free Download Id 7173

Schematic Refutations Of Formula Schemata Springerlink

Pillai Discrete Random Variables Independence Of Min X Y And X Y For Two Geometric Rvs Youtube
K Pxx R Vs のギャラリー
If X Is The A Random Variable With Probability Mass Function P

A Novel Human Serum Lectin With Collagen And Fibrinogen Like Domains That Functions As An Opsonin Journal Of Biological Chemistry

Flexovit Lamellenschijf Voor Rvs Zirconium K 80 110mm Keller S Ijzerhandel B V

Stiftschuurwiel Klingsp 25x15x6mm K 40 B1 Km613 Rvs Mtl Univ 1 Techprof Nl

Ise 525 Generating Random Variables Sources Of Randomness

Indesit Kp9507 E B X O Rvs Fornuis Kopen Archief Kieskeurig Nl Helpt Je Kiezen

Formules En Rekenregels
Find K If The Function F X Is Defined By F X Kx 1 X For 0lt

St Blindklinknagels Gesipa Rvs 4 X 8 Smit Maassluis Bv

Mutations In Retinoid X Receptor That Impair Heterodimerization With Specific Nuclear Hormone Receptor Journal Of Biological Chemistry

Producten
Week 5 Negative Binomial Pdf Negative Binomial Distribution The Probability Distribution Of A Negative Binomial Rv Is K 1 R Kr 1 P For K R R 1 K P X Course Hero

Chap 3 Random Variables The Outcome Of A
Conjugate Prior Wikipedia

Probability And Statistics For Engineering Hossein Sameti Department

Solved Random Walks Let 21 22 Be Independent And Id Chegg Com

Random Walks Let Z1 Z2 Be Independent And Id Chegg Com

Chi Square Distribution Introduction Video Khan Academy

Solved Consider The Joint Probability Table Given Below Chegg Com
/f.eu1.jwwb.nl%2Fpublic%2Fk%2Fp%2Fv%2Ftemp-wxbfvlypfeocdbfvpozx%2Fe168gi%2FScreenshot2020-06-02at170829.png)
Emmerputten Afvoerputten Djimo N V
Conjugate Prior Wikipedia

Chapter 4 Joint And Conditional Distributions Ppt Download

Bamum Language And Syllabary

Poisson Processes Chapter Exponential Distribution The Gamma Function Is Defined By G A T A 1 E T Dt A 0 Pdf Free Download

Multiple Alignment Of Therrmyb10 1 With Other Myb Tfs Box A A Download Scientific Diagram

Voiced And Unvoiced Consonants Phonics Pow

Chapter 7 Review Pack Germantown School District
1 Vytah

Find K If The Function F X Is Defined By F X Kx 1 X For 0lt

Multiple Random Variables A Vector Random Variable X Is A Function That Assigns A Vector Of Real Numbers To Each Outcome Of A Random Experiment E G Random Ppt Download

Using The Tables For The Standard Normal Distribution

Solutions To Statistical Infeence By George Casella

Chapter 2 Random Variables 2 1 Random Variables
Practice Exam In Chemical Technology Studeersnel

Part 4 Statistical Models In Simulation Csc

Ppt 2 1 Probability Joint Conditional Probabilities Statistical Independence Random Variables Distributions Powerpoint Presentation Id 9545
/f.eu1.jwwb.nl%2Fpublic%2Fk%2Fp%2Fv%2Ftemp-wxbfvlypfeocdbfvpozx%2Frhwcgd%2FScreenshot2020-06-02at170113.png)
Emmerputten Afvoerputten Djimo N V

3 Let X Be A Geometric Random Variable With Parameter P Prove That P X K R X Homeworklib

Random Variables Probability Distributions Binomial Random Variable Pdf Free Download

Defenders And Challengers Of Endothelial Barrier Function Abstract Europe Pmc

Chap 3 Random Variables The Outcome Of A

Leiding Beugel 1 X 6mm Rvs 2 Lips

Solved The Joint Pdf Of A Bivariate R V X Y Is Given Chegg Com

Kitchen Pro 12 Delige Kitchen Pro Plus Kp 1252 Rvs Pannenset Nextdeal B V

Answered 9 For N 1 N Let X Be Bartleby

Important Short Objective Questions And Answers Two Dimensional Random Variables

Solved Let Z1 Z2 Be Independent And Identically D Chegg Com

Leiding Beugel 4 X 4mm Rvs 2 Lips

Obfuscated Hello World Program

The P M F Of A R V X Is As Follows P X 0 3k3 P X Maths Meritnation Com
Cheatsheet Formula Schade Actuariaat Studeersnel
Ewpr7pe Fi34dm

Solutions To Statistical Infeence By George Casella

Indesit Kp958 Ms B X Rvs Fornuis Kopen Archief Kieskeurig Nl Helpt Je Kiezen

Pdf An Approximation Of Partial Sums Of Independent Rv S And The Sample Df Ii

Uniform Integrability Sufficient Condition And Bounded Convergence Theorem With Weaker Hypothesis Mathematics Stack Exchange

Tyrolit Slijpschijf Rvs 125 X 2 2 Mm P St Delville Nl

Doorsteekanker Faz Ii Fischer 10 10 K Rvs Smit Maassluis Bv
Discrete Uniform Distribution Wikipedia
Probability Mass Function Wikipedia

Statistics Springerlink

Solved Compute The Cdf Mean Variance And Standard Devi Chegg Com
Variance Wikipedia

Solved Exercise 4 Mle For Poisson Rv Let X Poisson 1 Chegg Com

P Partial Sums Of Sum X K Are Bounded 0 To Sum K 1 Infty X K Infty Text A S Mathematics Stack Exchange

Kitchen Pro 12 Delige Kitchen Pro Plus Kp 1252 Rvs Pannenset Nextdeal B V

Probability Theory Summary Ppt Download

One Dimensional Random Variables Ppt Download

Lecture 2 The Binomial Distribution Ppt Download



