Ks Ejr
ID3 YTDAT ÿþ0504TYER ÿþ21TLAN ÿþDEUTALB1 ÿþINFORMATIONEN AM MITTAGTIT2 ÿþCoronaInfektionen Starker Anstieg in IndienCOMMV ENGþÿÿþDeutschlandradio 0504.
Ks ejr. · H t˜¡ ñvO LUƒ x`e2ww©C ØLWëCVwfjF††Dv¤‰ HA— ‹‡Ã" ‡ I¥"»d Y8ƒ $ªJ ¦ƒé4¨ &BKˆo;êÎÏzmLØîø8«ÖÞÄÏ 7lT6ÿŒùÇ›–*o= = u‘¤Þ$ÎN_ç·à¤ ä õÙ5›NÕ(ÈnãFÊ ~XOE*fµ¿ÿ¹¯ÿÿÆLZ™ SŒìI œ=‰Âÿ œ Ç Ê ü¿òrõ ¹ì&°aDV!. È£—ä ²k”Öã% 4L o ¿üãPÜœ Ãì¿/¼. For 1 dag siden · ID3 /*TIT2 Overseas CorrespondentCOMMMXXXWe chat to our Overseas Correspondent in Taiwan, William Yang in TaipeiTPE1 Radio.
Aä >eZ— ã¨Ê_IkË*®8 QßµC8Ýé Rꪳ´È. · ID3 #TSSE Lavfÿû d 7À# 2&À ‚" Œ— #$Ì Þ€ €R@`v'4Qž ÂxiM)¦”Ñô£‹Lä,‚r)'Œ ’p ä, dRg) “‘G!dyÈ ŽB)'"žBÈä‚ Ž@ü'"Ö. · id3 tdrc tsse lavfcomm.
È bÅ2yO ²‡™ Ý¥@if }ÜúâQ›\ô€>7Xú 2jX!ëz Æ?W8è6Ç ÛzOÍvœÎ &ìÞ’h† Õ‹êâ Vür=!. Eߣ B† B÷ Bò Bó B‚„webmB‡ B S€g (±Y M›t@ ÔþÇýï7¿úø—ù·û^‚—}ñ2¿ þòg– Š>8 èCÓ@òçóQá J R>‘D2Q?3¸æðÕÿ¤*Å$»5?¤Mu ‰0‰Åý;L YÌí‚öVf ÓØh k ¤ÄH C4·öë ,eÆ?Ž oÒ)Ïœ gAOB ®üi 1 bàrÐI‘r’TÃí©àݺßÝ’*a_lÜJH õ/Îyœé©KM hç À ;R.

Mis Primeras Letras Las Consonantes G Y J Youtube
.gif)
Fisica Problemas Resueltos Termodinamica Problemas Resueltos Tipo Examen De Ingreso A La Universidad

Trabajo Fisica Montoya Ppt Descargar
Ks Ejr のギャラリー

Termodinamica Problema 1 Calcular La Temperatura Final De Una Mezcla Agua Hielo Youtube
Contribution A L Etude Et A La Modelisation D Un Modele De Convection Diffusion Degenere Application A L Etude Du Comportement Migratoire Des Civelles Dans L Estuaire De L Adour

James K Polk Wikipedia La Enciclopedia Libre

Matematicas 3º Eso Fernando Barroso Lorenzo Polinomios Y Factorizacion Polinomica Pdf Free Download
.gif)
Fisica Problemas Resueltos Termodinamica Problemas Resueltos Tipo Examen De Ingreso A La Universidad

Vectores Problemas Nivel 0b
.gif)
Fisica Problemas Resueltos Termodinamica Problemas Resueltos Tipo Examen De Ingreso A La Universidad

Primera Ley De La Termodinamica

Criterios De Evaluacion Trimestrales De Lengua De 1 º

Lugares Importantes En La Vida De Martin Luther King Jr
Problemas Resueltos De Termoquimica Studocu

Solucionario Semana 1 4

Vectores Problemas

Primera Ley De La Termodinamica

Y El Ultimo Hombre 1 3ª Ed Amazon Es Vaughan Brian K Marzan Jr Jose Guerra Pia Ruiz Carreras Guillermo Libros

Articulo 39

Trabajo Y Energia

La Robotica Los Materiales Inteligentes Y Su Impacto Futuro Para La Humanidad Openmind

Distribuciones De Teclado Para Windows Latinoamericano Extendido

Boe Es Boe A 1996 2749 Orden De 1 De Febrero De 1996 Por La Que Se Aprueban Los Documentos Contables A Utilizar Por La Administracion General Del Estado

Pdf Dynamic Stretching Is Effective As Static Stretching At Increasing Flexibility

Tecla Altgr Funcion De La Tecla Comandos Y Combinaciones Ionos
Alfabeto Latino Wikipedia La Enciclopedia Libre

Chipewyan Language Alphabets And Pronunciation

Sucesiones Numericas Ejercicios Resueltos

Modelado Cinematico Y Control De Robots Moviles Con Ruedas
Pdf Astrometry Of International Celestial Reference Frame Sources Using The Second Us Naval Observatory Ccd Astrograph Catalog Marcelo Assafin Academia Edu
.gif)
Fisica Problemas Resueltos Termodinamica Problemas Resueltos Tipo Examen De Ingreso A La Universidad

Ejercicios De Ortografia

J K Rowling Wikipedia La Enciclopedia Libre

Tipos Y Estudio De Los Principales Movimientos Pagina 2 Monografias Com

P N P I Y An P N Ap I Y A I It K Drt A I It Pz V Pr Ji Vi Mlti Dr K Sjv Hvi Pin An Jm N T Mj T L K Drt G S An Kn J J Jm Nn A Dry Ml C Ppt Download

Enfermedad Por Citomegalovirus Efectos Directos E Indirectos Nefrologia
Relacion Binaria Wikipedia La Enciclopedia Libre

Pdf How Swifts Control Their Glide Performance With Morphing Wings

La Robotica Los Materiales Inteligentes Y Su Impacto Futuro Para La Humanidad Openmind

Termometro De Termocupla K J T E R S Con Datalogger En Peru 12 Canales Precio Comprar Termometro Valiometro
John F Kennedy Wikipedia La Enciclopedia Libre

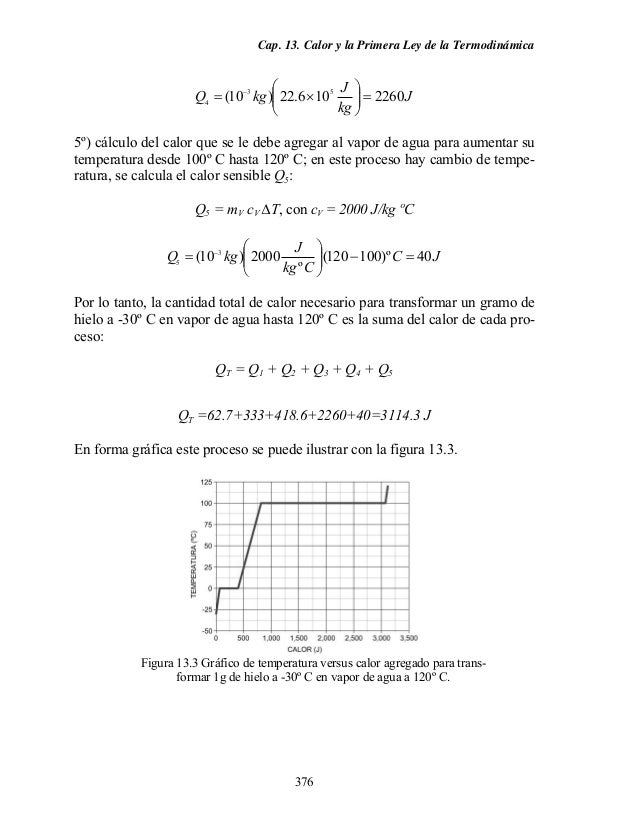
Cap13
2 3 Calor Intercambiado Y Variacion De Temperatura Materia Y Energia La Energia Se Transforma

Pdf Precipitation Variability And Trends In Ghana An Intercomparison Of Observational And Reanalysis Products

Quimica 2º Bachillerato Termoquimica Pdf Free Download
R Album Wikipedia La Enciclopedia Libre

Preparacion Para El Examen Act 21

Enfermedad Por Citomegalovirus Efectos Directos E Indirectos Nefrologia

Pdf Transactors Transformers And Beyond A Multi Method Development Of A Theoretical Typology Of Leadership

Quimica Integral Monografias Com

Universidad Nacional De Ingenieria Facul Tao De Ingenieria Electrica Y Electronica Pdf Descargar Libre

Freebookbd Galpo Samagra By Rabindranath Freebookbd Com Page 538 539 Created With Publitas Com

Crecimiento Exponencial Y Logistico Articulo Khan Academy

Perdida Prematura De Dientes Temporarios En Ninos Que Acudieron A Un Hospital Publico De La Ciudad De Luque Paraguay Revista De Odontopediatria Latinoamericana

Ejemplo Resuelto Uso De La Ley De Gases Ideales Para Calcular El Numero De Moles Video Khan Academy

Cambio Estandar En La Energia Libre Y La Constante De Equilibrio Video Khan Academy

Kellogg S Special K Protein Barritas Pack De 4 X 28g Amazon Es Alimentacion Y Bebidas

Matematica 7º Basico Cuaderno De Ejercicios By Eduardo Farias Issuu
Pdf Problemas Resueltos De Transferencia De Calor Cesar Jair Grijalba Luna Academia Edu

Survey Research Methods Applied Social Research Methods Amazon Es Fowler Jr Dr Floyd J Libros En Idiomas Extranjeros
.gif)
Fisica Problemas Resueltos Termodinamica Problemas Resueltos Tipo Examen De Ingreso A La Universidad

Cap13

Quimica Integral Monografias Com

Constand A Normalization Method For Isobaric Labeled Spectra By Constrained Optimization Molecular Cellular Proteomics

Boe Es Boe A 11 4292 Real Decreto 138 11 De 4 De Febrero Por El Que Se Aprueban El Reglamento De Seguridad Para Instalaciones Frigorificas Y Sus Instrucciones Tecnicas Complementarias

62 Ejercicios De Numeros Complejos Pdf Descargar Libre

Experimento De Joule Equivalente Mecanico Del Calor

Sistema Internacional De Unidades Wikipedia La Enciclopedia Libre
2 3 Calor Intercambiado Y Variacion De Temperatura Materia Y Energia La Energia Se Transforma

Avoiding First Year University Chemistry Textbooks Misrepresentations In The Teaching Of Spontaneous Reactions

R Truth Wikipedia La Enciclopedia Libre

La Robotica Los Materiales Inteligentes Y Su Impacto Futuro Para La Humanidad Openmind

Termodinamica Fge 1

Me Co J E O Pdf Descargar Libre
Constante De Los Gases Ideales Wikipedia La Enciclopedia Libre

Todo Para El Jardin 1906 Planet Jr Grassedger Una Buena Maquina Para El Fledado Terapeutico Y Facil De Los Bordes De Las Turboras Y La Limpieza De Los Paseos

Trabajo Y Energia



