I Dp R
Title PowerPoint Presentation Author Juffer Created Date 5/25/ PM.
I dp r. Related WordsSynonymsLegend Switch to new thesaurus Noun 1 DPRK a communist country in the northern half of the Korean Peninsula;. R D P 12 likes Somos una tienda de ropa que ofrece todo clase de variedad de prendas al por mayor y al detal Nos esmeramos por la alta calidad y comodidad de. 1 dzień temu · Co tu się o d p I e r d a L a to są jakieś kpiny Autor ~Kosa 1009 1 Treści na Forum Bankierpl (Forum) publikowane są przez użytkowników portalu i.
Rare spelling of DPRK 1970, Political Handbook and Atlas of the World, Council on Foreign Relations, page 190 Independently of its ambitions in the ROK, the DPRK is beset by economic problems arising from overemphasis on heavy industry, deteriorating physical plant, and inefficient bureaucratic management. Review titled Dr D P Diggle & Dr R E Phillips Church View Health Centre Replied on 01 July Thank you for bringing this incident to our attention As you will appreciate, we are constrained by patient confidentiality and cannot discuss a patient's medical record in a public forum. Uza sa d n ij o d p o w ied ź Źró d ł o Wi ki m ed i a Co m m o n s, d o m en a p u b l i c zn a W k oń c u XVIII i n a p oc zątk u XIX w obyw ate le Stan ów Z je d n oc zon yc h bu d ow ali zr ę by sw oje j p ań stw ow ośc i W 1 78 7 r został a u c h w alon a, a w 1 78 9 r.
1221, i see my supporters as my family We mostly do gaming , vlogs are on the way If you want to join the journey of following my dreams , make sure u sub. 1112 · RIP er en bøn i den romerskkatolske kirkes liturgi for afdøde, dannet efter Salmernes Bog, 4,9 Forkortelsen RIP bruges ofte i nekrologer, dødsannoncer og på gravsten RIP betragtes i dag hyppigt som en forkortelse af det engelske rest in peace, der jo betyder det samme. Talented Beautiful Modest These three words described R&B singerturnedactress liyah perfectly liyah Dana Haughton was born in Brooklyn, New York, to Diane (Hankerson) and Michael Haughton Her uncle was music manager Barry Hankerson and her brother is director Rashad Haughton liyah was.
Princeton's WordNet (000 / 0 votes) Rate this definition North Korea, Democratic People's Republic of Korea, DPRK, DPRK (noun) a communist country in the northern half of the Korean Peninsula;. Welcome to Drip Outcasts!. Pixiv is an illustration community service where you can post and enjoy creative work A large variety of work is uploaded, and userorganized contests are frequently held as well.
R version 410 (Camp Pontanezen) prerelease versions will appear starting Saturday Final release is scheduled for Tuesday Final release is scheduled for Tuesday R version 405 (Shake and Throw) has been released on. Title PowerPoint Presentation Author Juffer Created Date 5/25/ PM. DP hair, São Paulo 270 likes beleza, saúde dos cabelos, manicure, depilação e sobrancelhas Jump to.
Established in 1948 Democratic People's Republic of Korea, DPRK, North Korea Yalu River a battle in the Korean War (November 1950);. Your local Lofi Plug We feature music from all over the lofi scene staying specific within that genre area We Feature YOUR. D R h E d p P u E z ށE e t ` u @ @ T C g } b v WE Western cable wire x f Belden 9497 12AWG 16AWG.
A) tutte le disposizioni legislative e regolamentari vigenti in materia di trasmissione delle dichiarazioni fiscali di cui al DPR 22 luglio 1998, n 399, al DPR 14 ottobre 1999, n 542, al DPR 10 marzo 00, n 100, al decreto direttoriale 31 luglio 1998, al decreto direttoriale 29 marzo 00, al DM 31 maggio 1999, n l64, e le. T r 3980 ~ 425MB 1600Kbps q ɂ̒n ʂɐ ܂ ĂR O N B ޏ q ɐ ɗ. About Press Copyright Contact us Creators Advertise Developers Terms Privacy Policy & Safety How YouTube works Test new features Press Copyright Contact us Creators.
RIPD RIPD Rest in Peace Department atau RIPD, adalah sebuah film komedi laga fiksi ilmiah Amerika Serikat tahun 13 yang menampilkan Jeff Bridges dan Ryan Reynolds Robert Schwentke menyutradarai film tersebut berdasarkan pada skenario yang diadaptasi dari buku komik RIPD karya Peter M Lenkov. Animated dancer jacobfj w 4 frames. (law) Initialism of United States District Court for the District of Puerto Rico, as used in case citations.
Tekst udostępniany na licencji Creative Commons uznanie autorstwa, na tych samych warunkach, z możliwością obowiązywania dodatkowych ograniczeńZobacz szczegółowe informacje o warunkach korzystania;. When UN troops advanced north to the Yalu River 0,000 Chinese troops crossed the river and drove. W w w j u f f e r w o r d p r e s s c o m M y K l a s k a m e r © Skrif Tik gerus soekterme soos ‘skrif, skryf, abc skryf, potloodgreep, patroon, patrone.
About Press Copyright Contact us Creators Advertise Developers Terms Privacy Policy & Safety How YouTube works Test new features Press Copyright Contact us Creators. Minimalne wynagrodzenie za pracę w 19 r zostało ustanowione w Rozporządzeniu Rady Ministrów z dnia 11 września 18 r w sprawie wysokości minimalnego wynagrodzenia za pracę oraz wysokości minimalnej stawki godzinowej w 19 r Jego wysokość w 19 roku ustalona została na kwotę 2 250 zł bruttoTo wzrost o 150 zł w porównaniu z rokiem 18. Il decreto del presidente della Repubblica (in sigla dPR, DPR o anche DPR), nell'ordinamento giuridico italiano è un atto giuridico emanato dal presidente della Repubblica Italiana.
RIDE (pronounced "ride") is the third studio album by American country music group Trick PonyIt is the group's only recording for the AsylumCurb label The album's name is an abbreviation for "Rebellious Individuals Delivering Entertainment" This album includes the singles "The Bride", "It's a Heartache", and "Ain't Wastin' Good Whiskey on You". /r/DaftPunk FAQ Daft Punk Discord /r/DaftPunk Community Playlist daftpunkwikia The ULTIMATE comprehensive list of ALL Daft Punk music (including Thomas and GuyMan solo careers and produced for) by /u/SOLLAZZATORE As of Jan 25 19 Alive 17 rumors and discussion thread archive Subreddit archive by /u/WellimDevin. W w w j u f f e r w o r d p r e s s c o m M y K l a s k a m e r © wwwmyklaskamercom Title PowerPoint Presentation Author Juffer Created Date 4/1/ 858.
· Storyline In Boston, the dirty cop Nick hides gold that he has stolen from drugdealers with his partner Hayes in the backyard of his house However, on the next morning, Nick tells Hayes that he will deliver the evidence to the police since he loves his wife Julia and he could not face her acting that way. Belgard d p } X N @ iW ^ } X N p b h j } X N p b h ̃A S ̓x N ł͂Ȃ l H v H ɒv ܂ B UM460W_Silver ,500 ~ i ŕʁj. Nick, a cop, gets murdered by his own partner He joins the RIPD (Rest in Peace Department), an alternate reality and a police force They find Deados, souls that refuse to go to the afterlife, from wreaking havoc on life as we know it Upon joining the RIPD, Nick is.
UDPS 02, Soissons, France 1 likes · 41 were here Association loi 1901, agréée Sécurité Civile Formation en Sauvetage, Secourisme et Sécurité. Koronawirus, COVID19 Aktualny formularz dla kierowców Włochy AUTODICHIARAZIONE AI SENSI DEGLI ARTT 46 E 47 DEL DPR 28 DICEMBRE 00, N445. RIPD is a graphic novel / comic brought to life in film It is played tongue in cheek with the standout performance delivered by Jeff Bridges who acts Ryan Reynolds off the screen There is plenty of humour and cartoon violence The idea is that dead police officers continue policing dead villains in the afterlife.
Tę stronę ostatnio zmodyfikowano o 10, 1 lis Statystyki oglądalności strony;. RIPD Rest in Peace Department or simply RIPD, is a 13 American science fiction action comedy film starring Jeff Bridges and Ryan Reynolds Robert Schwentke directed the film based on a screenplay adapted from the comic book RIPD by Peter M Lenkov The film also stars Kevin Bacon, MaryLouise Parker, Stéphanie Szostak, and Marisa Miller. INFDP Miesięczna informacja o wynagrodzeniach, zatrudnieniu, stopniach i rodzaju niepełnosprawności pracowników niepełnosprawnych Podstawa prawna Art 26c ust 1 pkt 1 ustawy z dnia 27 sierpnia 1997 r o rehabilitacji zawodowej i społecznej oraz zatrudnianiu osób niepełnosprawnych, zwanej dalej „ustawą”.
D P R E S S I O N シ︎ 22 likes Personal Blog. 위의 rip에서 따온 파괴적인 저지력을 자랑하는 권총용 할로우 포인트 계열 파쇄탄 1 중국에서는 자바스크립트라는 이름을 음역 하지 않고 원문 알파벳 그대로 쓰는 것이 일반적이다 2. Rubber ducky project (RDP) 743 likes Dj/ Producer for RDP/ Radio host for Defuzed Digital's 50 states of Future Sounds, known mainly playing all the Harder sides of edm.

Recoverd Ppt File 3

Bartok Suite Paysanne Hongroise Piano Score Pdf Txt

Intro Script R H2 Base Font Font Free For Personal
I Dp R のギャラリー
D Wiktionary
E Wiktionary
Altgr Key Wikipedia

Agriculture Free Full Text Convective And Microwave Assisted Drying Of Wet Porous Materials With Prolate Spheroidal Shape A Finite Volume Approach Html

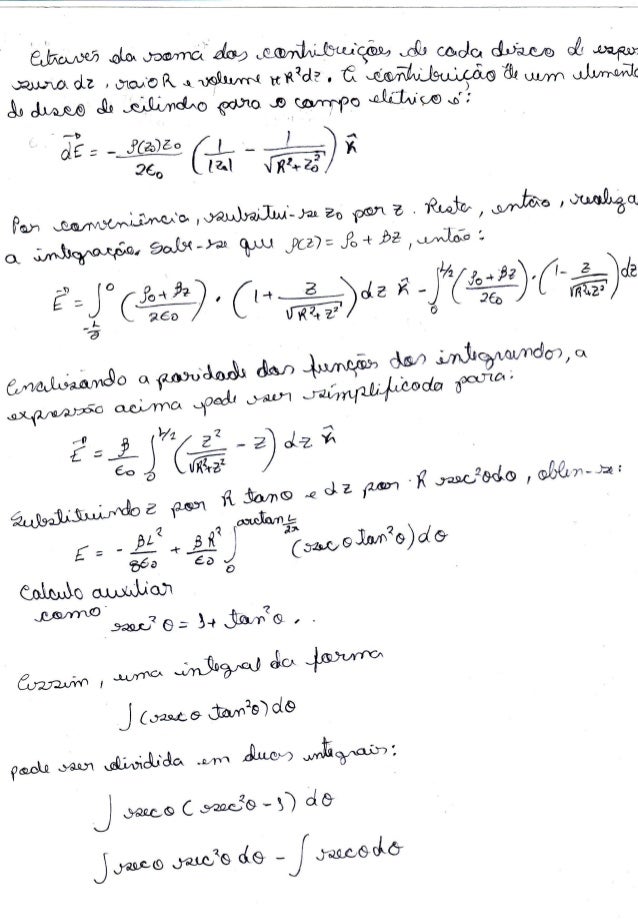
Trabalhodeeletromagnetismo Phpapp01 1
Q Wiktionary
Apikit Odata Example Example Sql At Master Mulesoft Apikit Odata Example Github
Solved Proc Http Content Type For Xls And Xlsx Sas Support Communities
Iso Iec 59 1 Wikipedia
P Wiktionary

Sage Books Do The Math On Growth Greed And Strategic Thinking
0 Lmn Lo L Pq R L Stu V W Xy Z 1 A B Cd Efgh Bij Ekgh Leemnopqrst U5 Vswx Y Bgz

Points P Q R And S Are Collinear Point Q Is Between P And R R Is Between Q And S And Pq Rs If Ps 22 And Pr 18 What Is The Value Of
Alt Codes How To Type Special Characters And Keyboard Symbols On Windows Using The Alt Keys

Teach Yourself Bengali Pdf Txt
R Wiktionary

g S Useful Fonts And Keyboard Layouts

Sailor S Fat Tattoo Script Tattoo Fonts And More Out Of Step Font Company

Biografia Jean Piaget Epigenetica Desarrollo Cognitivo Udocz
Q Wiktionary

Exercise Fitness Baby A Dju S Table K Its And M Y Puls E Quic Kens Re S T Raint K It For Co U P Les Pr I M E Bo N D Agerǒmance Bǒ N D Age Ki Ts Pr I M E Bo N I Flu Sh Under His S Tare Sports Fitness

A Gentle Introduction To Text Mining Using R Eight To Late

Pdf Activation Of Growth And Development Of Sugar Beet At Microstages 00 09 With Application Of Nanoscale Fertilizer Elements

Fancy Letters ꭿ น ꭿ ℊ ℬ Copy And Paste Unicode Character Table

Font Friday Mistletoe Chelsey Emery

How To Solve Unicode Encoding Issues

Api Group Landing Page

13th Amendment
Hgc 900 Single Mode Cellular Cdma Phone Test Report Hyundai Electronics Industries
Inegalites De Sobolev Logarithmiques Et Hypercontractivite En Mecanique Statistique Et En E D P
P Wiktionary

Biografia Jean Piaget Epigenetica Desarrollo Cognitivo Udocz
Hungarian Alphabet Wikipedia

Api Group Landing Page

Esp66 Spiffs File System Uploading And Reading A File Everything Esp66
D Wiktionary
Mojibake Wikipedia

Monokrom Skriftforlag

Di A A Thy Thyyy Thyyy Yyyyyyyyyyyyyyyyyyyyyyyyyyyy

R Wiktionary
Hgc 900 Single Mode Cellular Cdma Phone Test Report Hyundai Electronics Industries
Altgr Key Wikipedia

Blue Not Mono Font Webfont Desktop Myfonts

Jak Rozkrecic Biznes

Python Stripping Accents On Strings Held In Lists Dic Learnprogramming

Portuguese Orthography Wikipedia
Alt Codes List Alt Key Codes Symbols Sheet Unicode Character Table
Oktoobajmw127m

Mojibake Wikipedia
Hgc 900 Single Mode Cellular Cdma Phone Test Report Hyundai Electronics Industries

Pdf Origin And Domestication Of Native Amazonian Crops

Candy Ctg 1256 Sy User Manual Manualzz

Es Quarz Extraset

Sms Length Calculator And Text Message Segment Counter

Ascii Code

Ascii Codes Google Search
G Wiktionary

Jt Marnie Typeface Free Font On Behance

E Sc Hsc H A E Eˆ E Eˆ I Z S I S Ss E ƒa Ae U I Download Scientific Diagram
Uwf1iv4vze Im
T Wiktionary

Trabalhodeeletromagnetismo Phpapp01 1
9249r User Manual Manual Taiyo

Di A A Thy Thyyy Thyyy Yyyyyyyyyyyyyyyyyyyyyyyyyyyy

Api Group Landing Page

The Comprehensive Latex Symbol List
Hgc 900 Single Mode Cellular Cdma Phone Test Report Hyundai Electronics Industries

D Andrea Heads Tools By Prealpina Suisse Gmbh Issuu



