Cz Zix
ôøc3 7·ÑÖ„nByŸú‘B _Ÿò8@D\¹Â" !) 7ÃBeô² ‰x(ЍÀƒ$8nl” ÛÒ/ Ø•ˆ¡Fü½ÿýi è¡vG Á† ¥šE¤Â¢Q(ZKŒK@ (£²W"e ZwÐÌz4¹HQJnûÿEÿ—6£Ÿ ^ðeïÿÈÕ$Áwc†‚•J†T ‡ X µL™¯ÕÅô4ä© ÅИò,²ÿû’d9 ÕXÒ‹H Â*@ "n ‡H é Ø¥‚ætc ÀØD 0%°èÑòÌ zØè>ÿT.
Cz zix. Řò,²ÿû’d9 ÕXÒ‹H Â*@ n ­‡H é. ‰x(ЍÀƒ$8nl” ÛÒ/ Ø•ˆ¡Füÿýi è¡vG Á† ¥šE¤Â¢Q(ZKŒK@ (£²We Zwz4¹HQJnûÿEÿ—6£Ÿ ^ðeïÿ�Õ$Áwc†‚•J†T ‡ X µL™¯ÕÅô4ä©.
The Divergence Theorem Page 2

Challenging Complex Numbers Problem 1 Of 3 Video Khan Academy

Answered 22 The Line 3 Is Parallel To The Line Bartleby
Cz Zix のギャラリー

Oneclass From The Cannonical Commutation Relations Xl Pm I Hbar I Lm L M 1 2 3 Or X Y Z And Th

Evaluate The Line Integral Int C 2xyz Dx X 2z Dy X 2y Dz Where Math C Math Is An Oriented Simple Curve Connecting Math 1 1 1 Math To Math 1 2 4 Math Homework Help

An Em Wave From Air Enters A Medium The Electric Fields Are E1 E01 X Cos 2 Pie V Z C T In Air And E 2

Solved 1 Find Are Length Of Clt Te 4 Sin 2t 4 O Chegg Com

Oneclass Let F Rightarrow X Y Z 2 Pi Yz4 Y I 2 Pi Xz4 X J 8 Pi Xyz3 K And Let C Be The C
Solved 2 Evaluate Sfida Flx Y Z 2xz Y Z I Axy Chegg Com

Annales Academie De La Rochelle Section Des Sciences Naturelles S S G Quot D Lt I Co O Q 5 X Sii I S Z O G

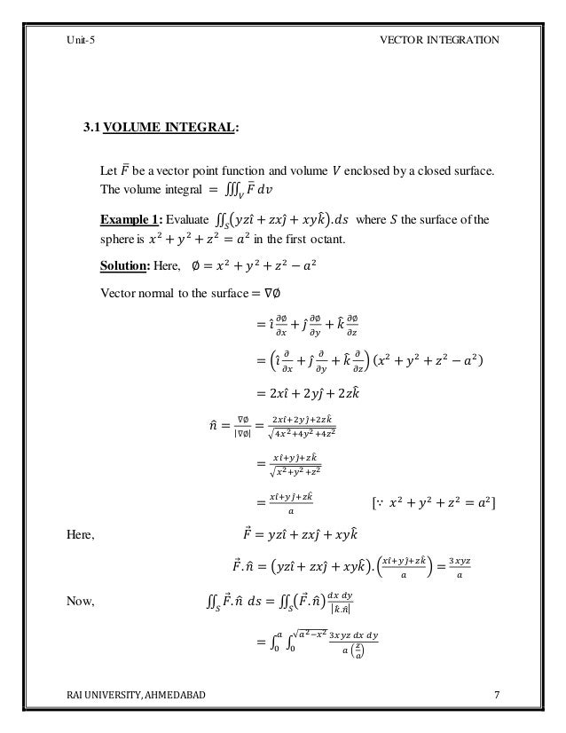
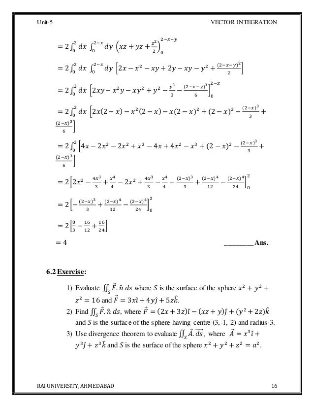
Btech Ii Engineering Mathematics Unit5

A Vector Field F Is Given By F Sinyi X 1 Cosy J How Do You Evaluate The Line Integral Integration Over C Vector F Dr Where C Is The Circular Path Given X 2 Y 2 A 2

Inversion Of The Z Transform Partial Fraction Expansion Youtube
If Z 3 I 2 Then Z 101 I 103 105 Equals Quora

Line Integral Example 2 Part 1 Video Khan Academy

Divergence Theorem Example 1 Video Khan Academy
Solved 1 Use Cylindrical Coordinates To Find The Volume Chegg Com

Answered Suppose That The Vector Field F 2 Y Bartleby
Solved 1 Use Stox S Theorem To Evaluate F Foda Where F Chegg Com

Matlab Tutorial
Solved 2 A Determine Whether Or Not Each Of The Followi Chegg Com

Btech Ii Engineering Mathematics Unit5

Solved 3 A Consider The Vector Field F X Y Esin Y Chegg Com
How To Solve The Equations For X Y 8 X Z 13 Z W 6 And W Y 8 Quora

Btech Ii Engineering Mathematics Unit5

Decomposition Of A Multi Hole Tree Ltree A 2 B 1 C 0 D 3 X Y Z Download Scientific Diagram

Given 2x Y 2z 2 X 2y Z 4 X Y Lamda Z 4 The

Btech Ii Engineering Mathematics Unit5

Complex Numbers The Complex Plane Addition And Subtraction

The Line X X 1 0 Y Y 1 1 Z Z 1 2 Is A Parallel To X Axis

Bulletin De La Societe Zoologique De France Zoology S Quot O Tn R 5 Quot Gt 5 Gt I 2 I 5 S Quot S Rn Z H X

Calculus 3 Line Integrals 18 Of 44 What Is A Line Integral Y Dx Z Dy X Dz Example 6 Youtube

Vector

Verify Stokes Theorem For V Zi Xj Yk Over The Hemispherical Surface X 2 Y 2 Z 2 1 And Z Gt 0 Mathematics Stack Exchange

Answered 15 Find The Flux Of A Vector Field F Bartleby

Prove The Limit Of Conjugate Z Z As Z Approaches Zero Does Not Exist Complex Analysis Youtube
印刷 C Q 良い最高の壁紙無料thd

Btech Ii Engineering Mathematics Unit5

Vector Algebra And Calculus Pdf Free Download

Btech Ii Engineering Mathematics Unit5

Previous Problem Problem List Next Problem 1 Point If C Is The Curve Given By R Homeworklib

Calculus Homework Help And Exam Questions Page

Solved Problem 2 10 Points Testing Of Conservative Fi Chegg Com

Solved 2 A Find The Gradient Field Of The Functions Chegg Com

Solved C Verify Stokes Theorem Ff Di Vxf N Do S Fo Chegg Com
Solved Problem 4 Line Integrals For The Vector Fields F Chegg Com

Solved 2 Use Green S Theorem To Evaluate Fo F Ds F X Chegg Com

X Y And Z Intercepts Of A Plane From Vector Equation Youtube

Let Math Mathbf F 2xz 2 Mathbf I Mathbf J Y 3zx Mathbf K Math And Math F X 2 Y Math Compute The Following Quantities A Math Nabla F Math B Math Nabla Times Mathbf F Math C Math Mathbf F Times Nabla F Math D

F X Y Z Xy2 Yz3 Directional Derivative At Point 2 1 1 Gate 19 Q 44 Youtube

Btech Ii Engineering Mathematics Unit5

If X Y Z 6 And Xy Yz Zx 11 And Xyz 6 Is Given Find The Value Of X 3 Y 3 Z 3 Youtube
How To Show That The Vector Field F 2x Y 2 Z 3 I 2x 2y J 3x 2z 2 K Is Conservative What Is Its Scalar Potential And The Work Done Is Moving Particle From 1 2 1 To 2 3 4

For Each Of The Following Vector Fields Math Mathbf F Math Determine I If There Exists A Function G Such That Math Nabla G Mathbf F Math And Ii If There Exists A Vector Field Math Mathbf G Math Such That Math Operatorname Curl

Solved Consider The Vector Field F 2x Cos Y 2z 3 I Chegg Com
Prove Vector F Y 2cosx Z 3 I 2ysinx 4 J 3xz 2k Is Irrotational And Find Its Scalar Potential Sarthaks Econnect Largest Online Education Community
Surface Integrals Of Vector Fields Page 2

The Perpendicular Distance From The Origin To The Plane Containing The Two Lines X 2 3 Y Brainly In

Vector Analysis By Alimkanwalimtinaa Issuu

Btech Ii Engineering Mathematics Unit5



